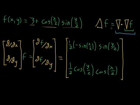
Çok Değİşkenlİ Kalkülüs Çok Değİşkenlİ Fonksİyonların Türevİ Laplace Laplace Operatörü Mantığı TUR Laplace Operatörü Örneği TUR Laplace Formülü TUR Harmonik Fonksiyonlar TUR Laplace Operatörü Örneği Geri Laplace Operatörü Örneği Bu videoyu paylaşmak için: Yeni eklenen videoları takip etmek için: ÖNCEKİ VİDEO KONU BAŞLIĞINA DÖN SONRAKİ VİDEO Bu videoyu puanla Yorum yapmak için giriş yapın Sosyal Medyada Bizi Takip Edin: